Официальное опубликование правовых актов
ОФИЦИАЛЬНОЕ ОПУБЛИКОВАНИЕ
Постановление Правительства Республики Мордовия от 01.08.2024 № 618
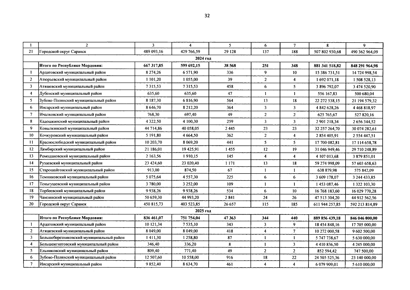
"О внесении изменения в краткосрочный план реализации на 2023 – 2025 годы Республиканской адресной программы "Проведение капитального ремонта общего имущества в многоквартирных домах на территории Республики Мордовия" на 2014 – 2055 годы"
Номер опубликования: 1300202408010001
Дата опубликования: 01.08.2024
Страница №32 из 33:
Увеличить