Официальное опубликование правовых актов
ОФИЦИАЛЬНОЕ ОПУБЛИКОВАНИЕ
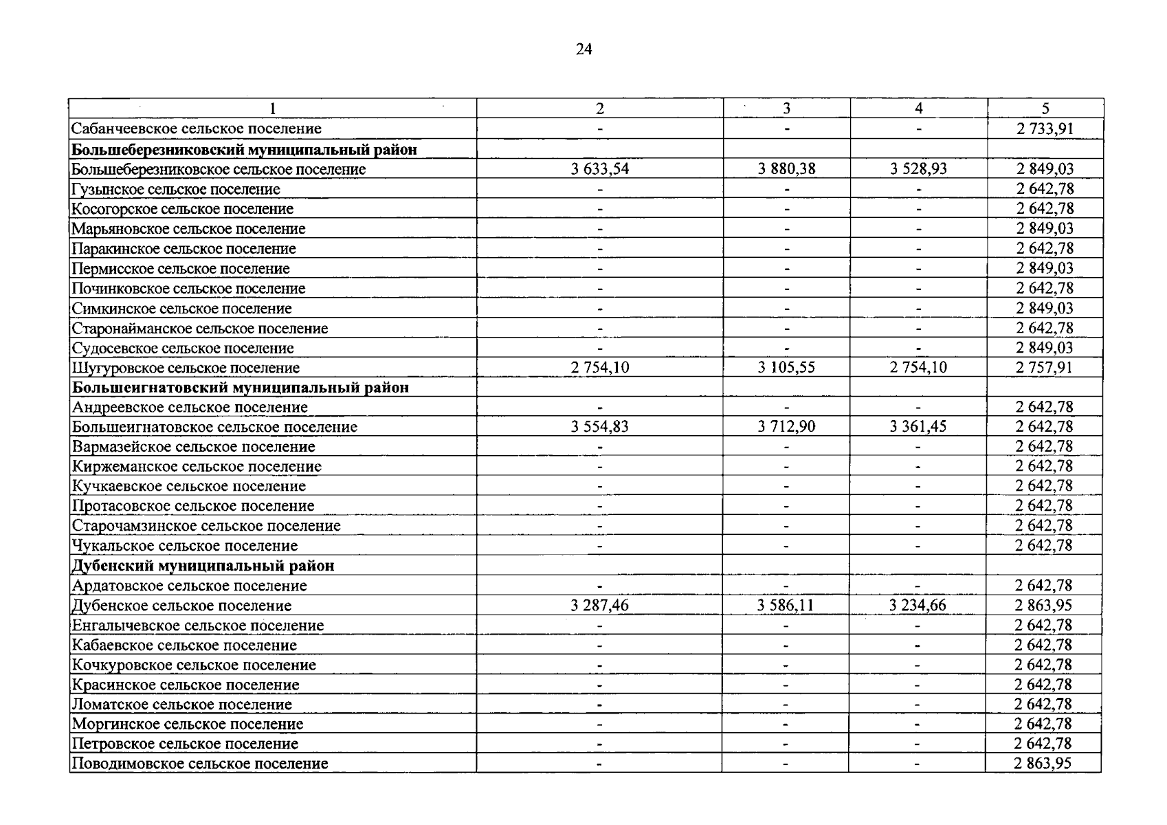
Постановление Правительства Республики Мордовия от 15.07.2024 № 595
"О внесении изменения в приложения 1 – 3 к постановлению Правительства Республики Мордовия от 12 марта 2024 г. № 235"
Номер опубликования: 1300202407150006
Дата опубликования: 15.07.2024
Страница №24 из 31:
Увеличить