Официальное опубликование правовых актов
ОФИЦИАЛЬНОЕ ОПУБЛИКОВАНИЕ
Постановление Правительства Республики Мордовия от 29.05.2024 № 459
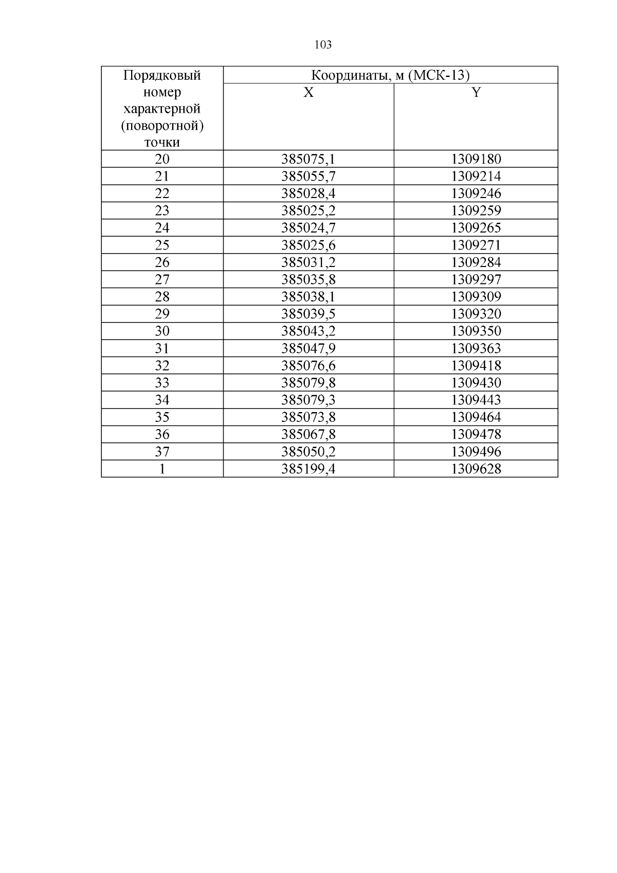
"Об утверждении проектной документации по установлению и изменению границ лесов, расположенных в зеленых зонах в лесах Кочкуровского участкового лесничества Саранского территориального лесничества Республики Мордовия, и изменении площади и границ лесов, расположенных в зеленых зонах Кочкуровского участкового лесничества Саранского территориального лесничества Республики Мордовия"
Номер опубликования: 1300202405310001
Дата опубликования: 31.05.2024
Страница №105 из 160:
Увеличить