Официальное опубликование правовых актов
ОФИЦИАЛЬНОЕ ОПУБЛИКОВАНИЕ
Постановление Правительства Республики Мордовия от 15.05.2024 № 443
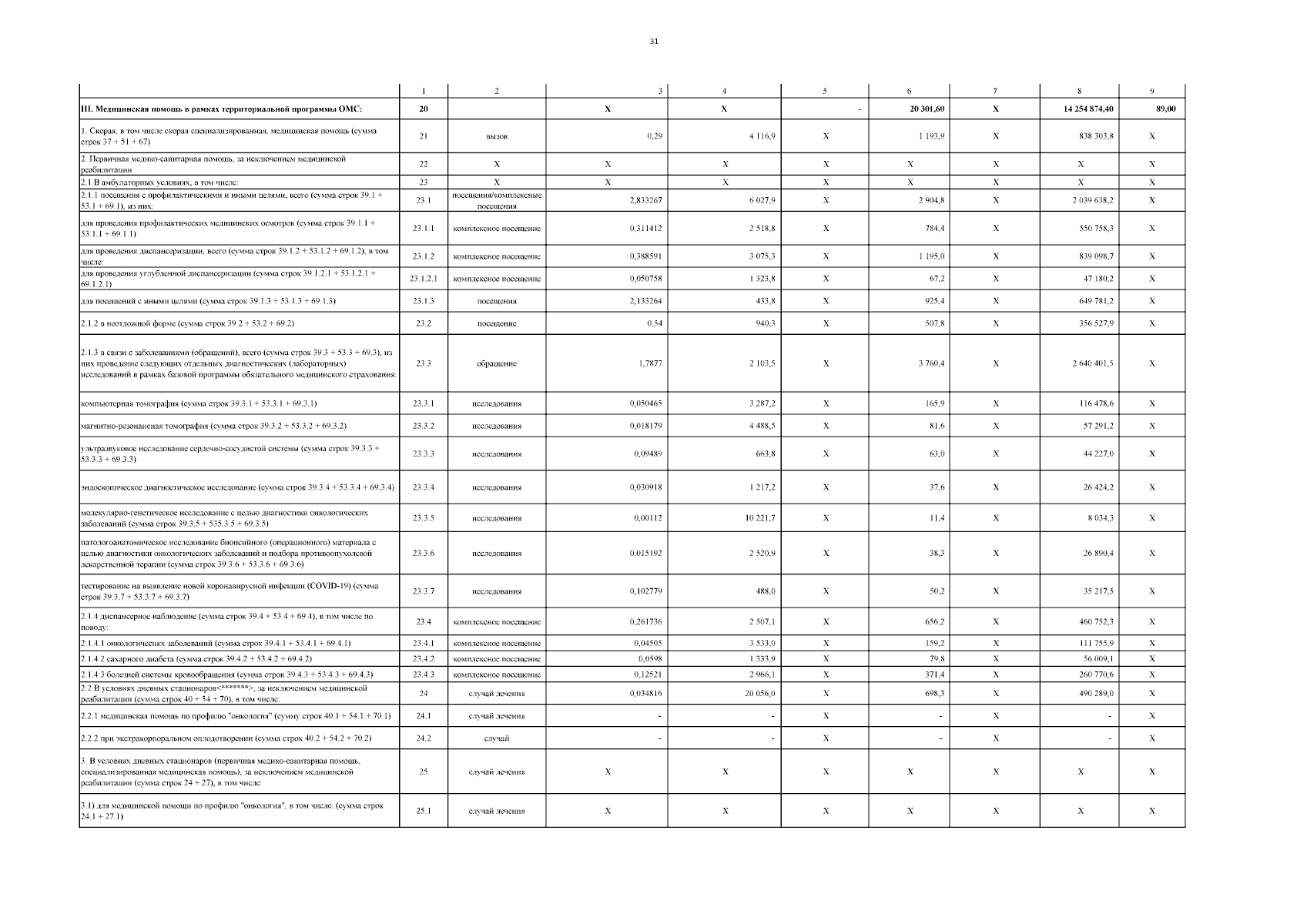
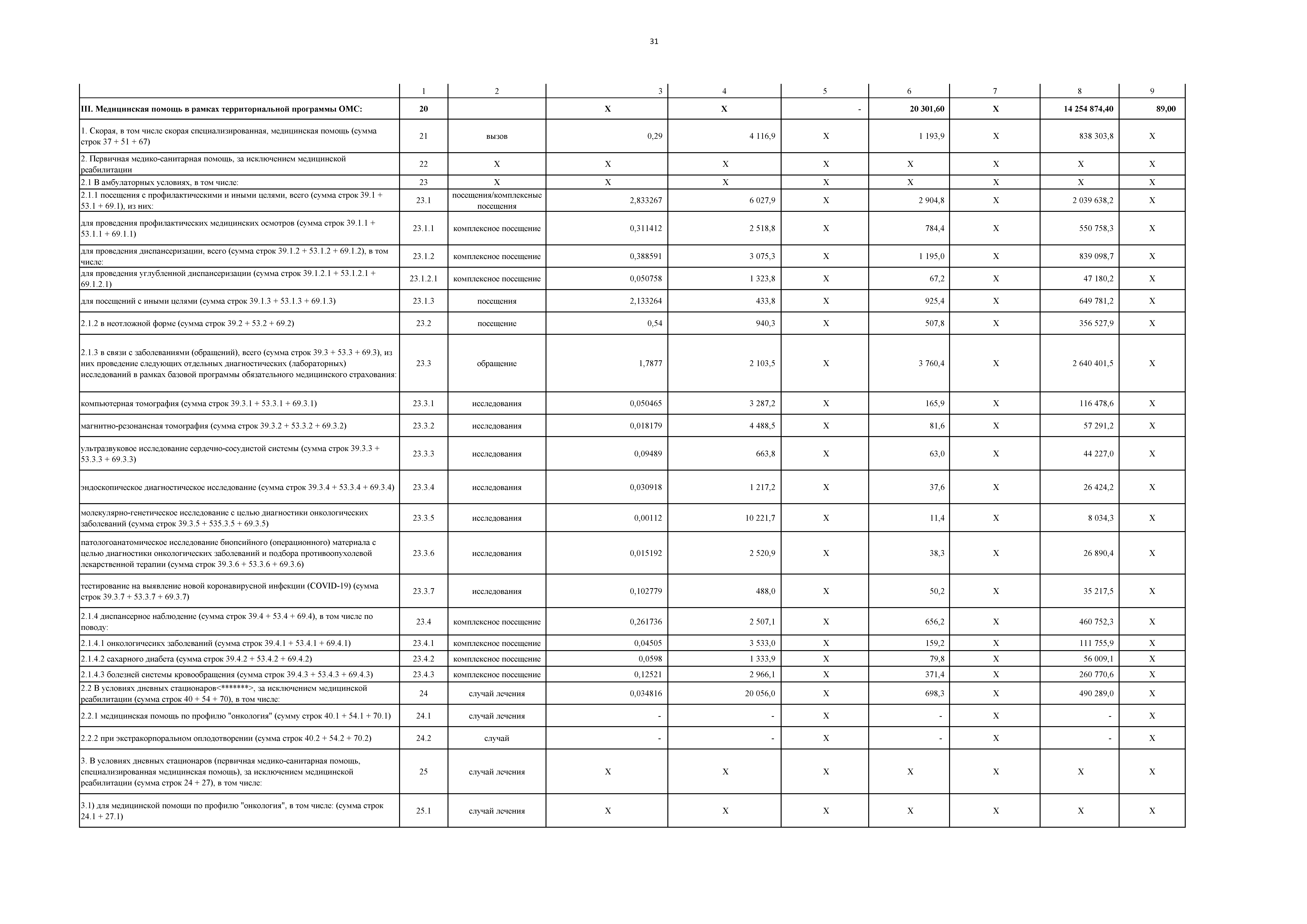
"О внесении изменений в Республиканскую территориальную программу государственных гарантий бесплатного оказания населению Республики Мордовия медицинской помощи на 2024 год и на плановый период 2025 и 2026 годов"
Номер опубликования: 1300202405150010
Дата опубликования: 15.05.2024
Страница №31 из 136: