Официальное опубликование правовых актов
ОФИЦИАЛЬНОЕ ОПУБЛИКОВАНИЕ
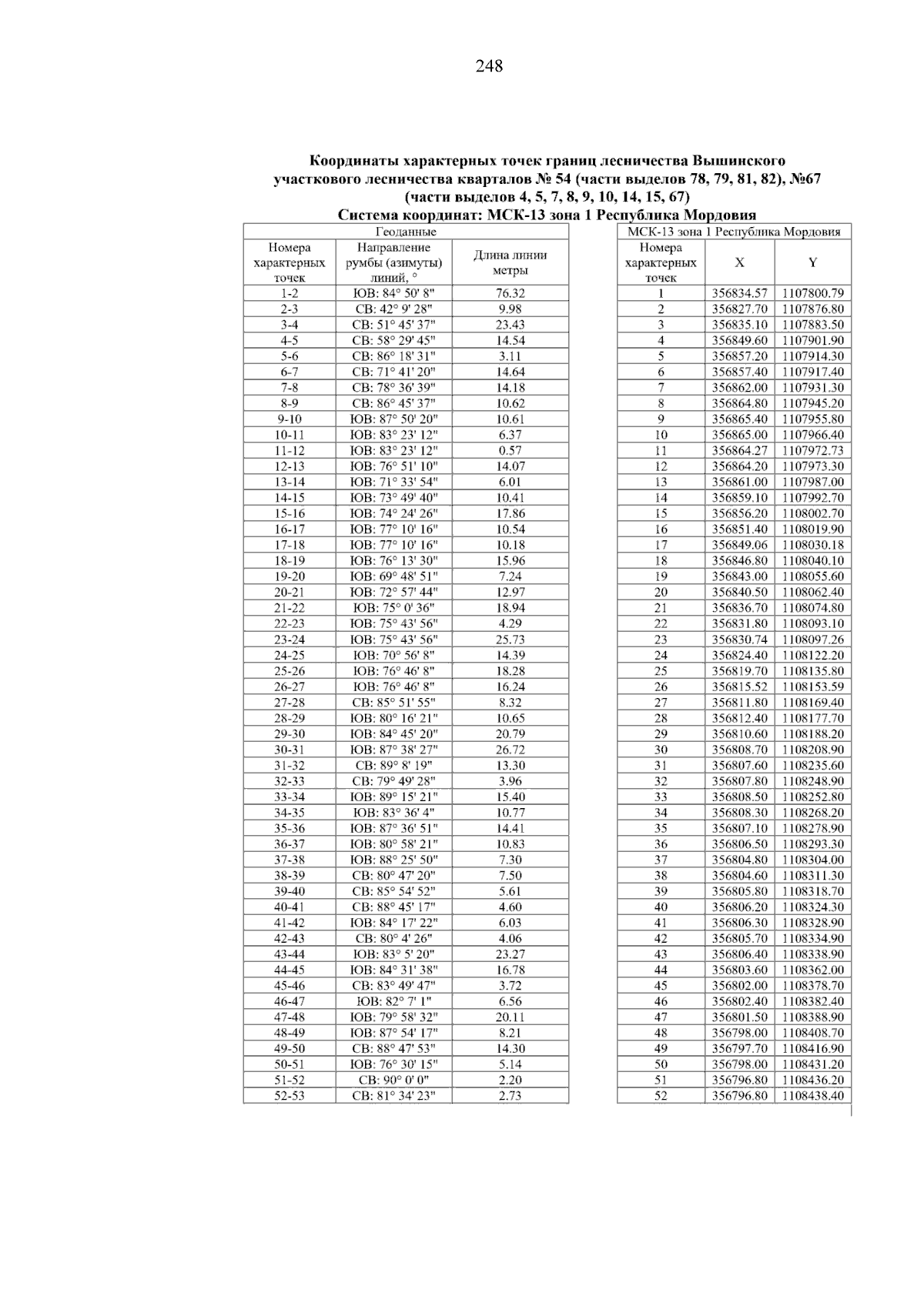
Постановление Правительства Республики Мордовия от 12.04.2024 № 337
"Об изменении площади и границ лесов, расположенных в зеленых зонах"
Номер опубликования: 1300202404180003
Дата опубликования: 18.04.2024
Страница №250 из 266:
Увеличить