Официальное опубликование правовых актов
ОФИЦИАЛЬНОЕ ОПУБЛИКОВАНИЕ
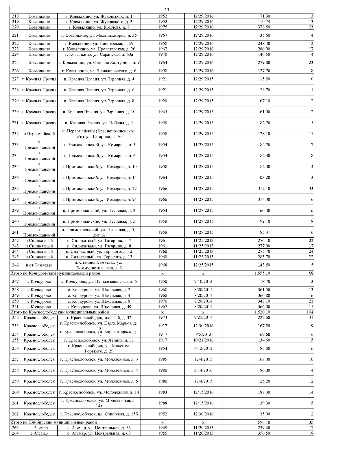
Постановление Правительства Республики Мордовия от 20.03.2024 № 249
"О внесении изменений в государственную программу Республики Мордовия "Развитие жилищного строительства и сферы жилищно-коммунального хозяйства"
Номер опубликования: 1300202403210001
Дата опубликования: 21.03.2024
Страница №13 из 27:
Увеличить