Официальное опубликование правовых актов
ОФИЦИАЛЬНОЕ ОПУБЛИКОВАНИЕ
Постановление Правительства Республики Мордовия от 19.03.2024 № 247
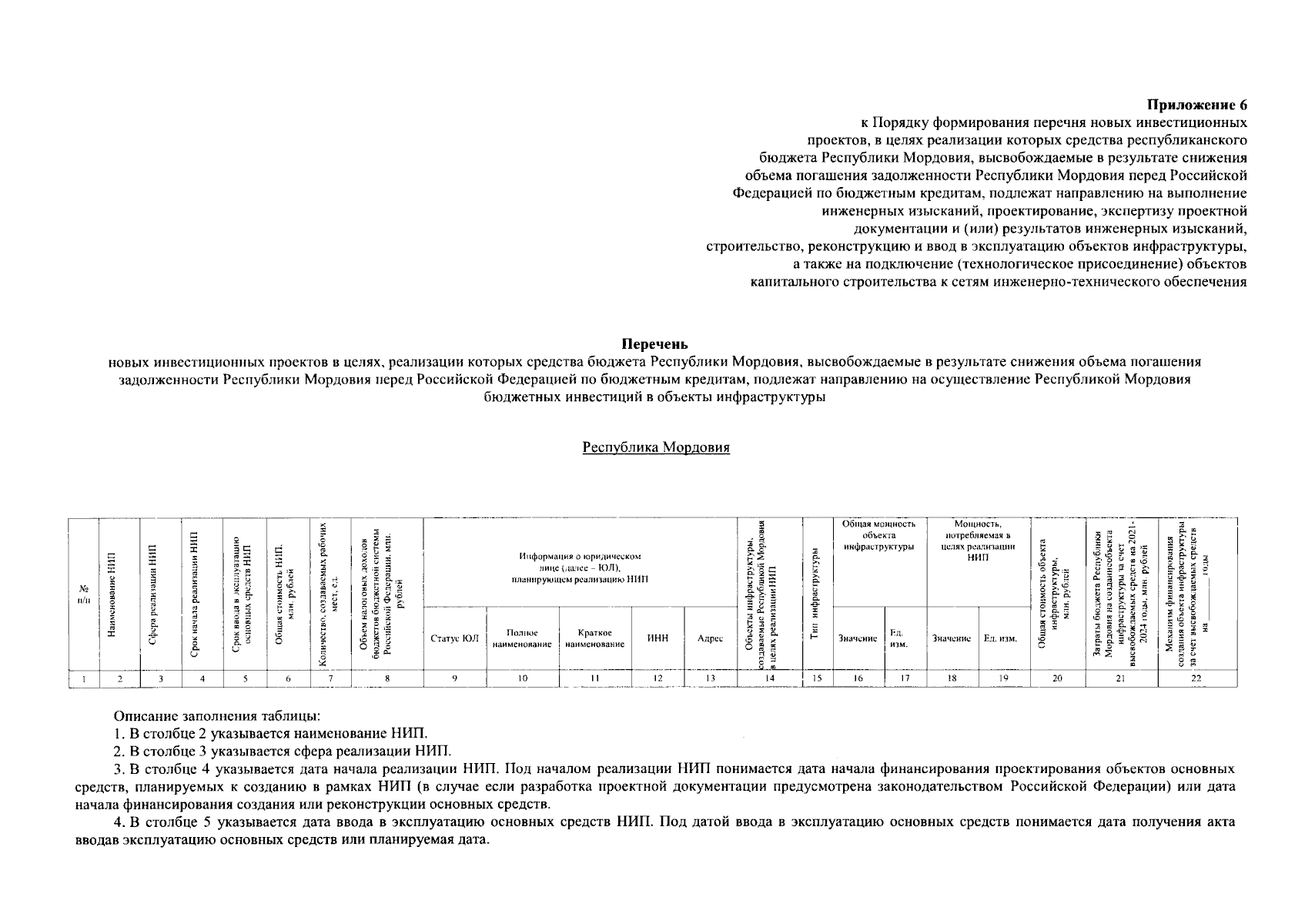
"О мерах по реализации постановления Правительства Российской Федерации от 19 октября 2020 г. № 1704 "Об утверждении Правил определения новых инвестиционных проектов, в целях реализации которых средства бюджета субъекта Российской Федерации, высвобождаемые в результате снижения объема погашения задолженности субъекта Российской Федерации перед Российской Федерацией по бюджетным кредитам, подлежат направлению на выполнение инженерных изысканий, проектирование, экспертизу проектной документации и (или) результатов инженерных изысканий, строительство, реконструкцию и ввод в эксплуатацию объектов инфраструктуры, а также на подключение (технологическое присоединение) объектов капитального строительства к сетям инженерно-технического обеспечения"
Номер опубликования: 1300202403190001
Дата опубликования: 19.03.2024
Страница №23 из 27:
Увеличить