Официальное опубликование правовых актов
ОФИЦИАЛЬНОЕ ОПУБЛИКОВАНИЕ
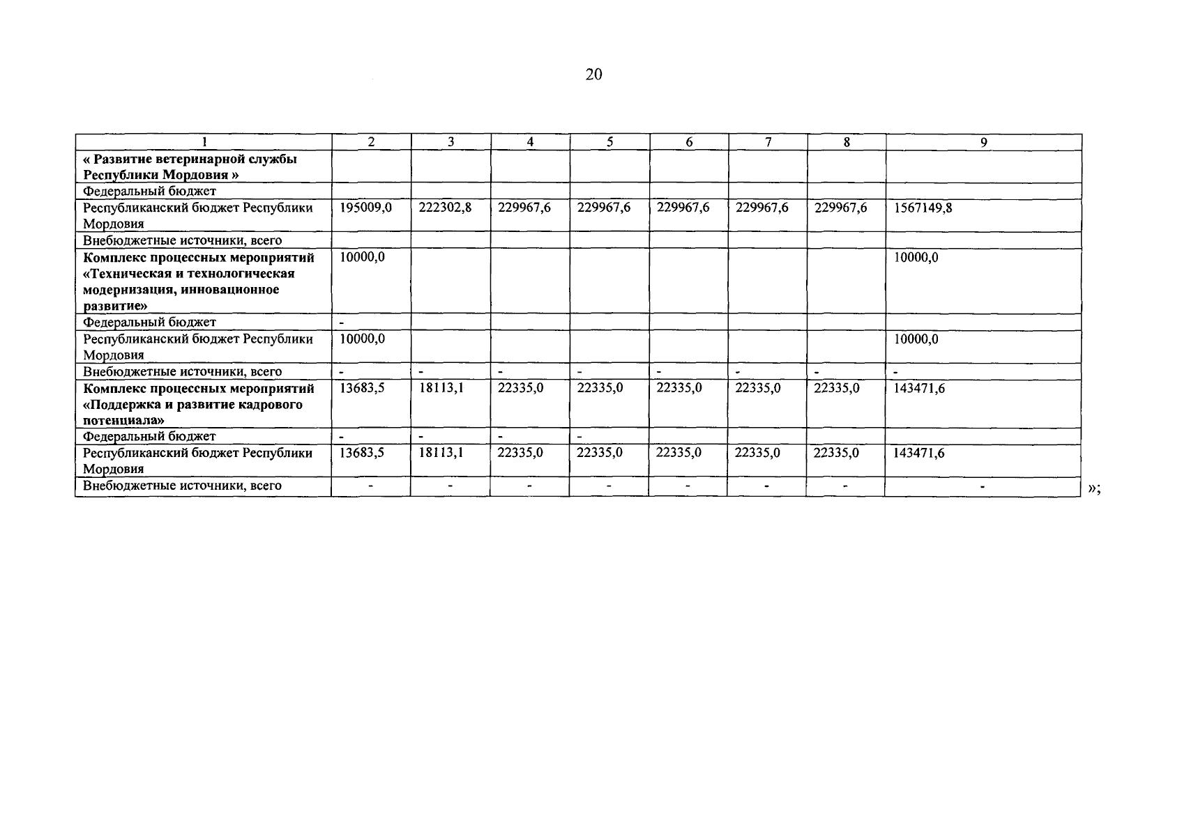
Постановление Правительства Республики Мордовия от 15.03.2024 № 240
"О внесении изменений в постановление Правительства Республики Мордовия от 29 декабря 2023 г. № 794 и признании утратившими силу отдельных постановлений Правительства Республики Мордовия"
Номер опубликования: 1300202403180010
Дата опубликования: 18.03.2024
Страница №20 из 31:
Увеличить