Официальное опубликование правовых актов
ОФИЦИАЛЬНОЕ ОПУБЛИКОВАНИЕ
Постановление Правительства Республики Мордовия от 28.02.2024 № 179
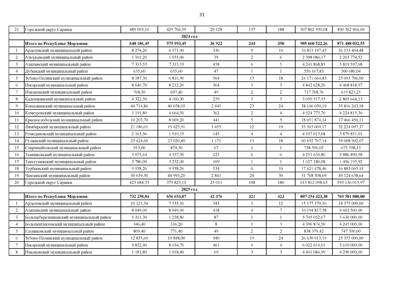
"О внесении изменения в краткосрочный план реализации на 2023 – 2025 годы Республиканской адресной программы "Проведение капитального ремонта общего имущества в многоквартирных домах, расположенных на территории Республики Мордовия" на 2014 – 2055 годы"
Номер опубликования: 1300202402290001
Дата опубликования: 29.02.2024
Страница №31 из 32:
Увеличить