Официальное опубликование правовых актов
ОФИЦИАЛЬНОЕ ОПУБЛИКОВАНИЕ
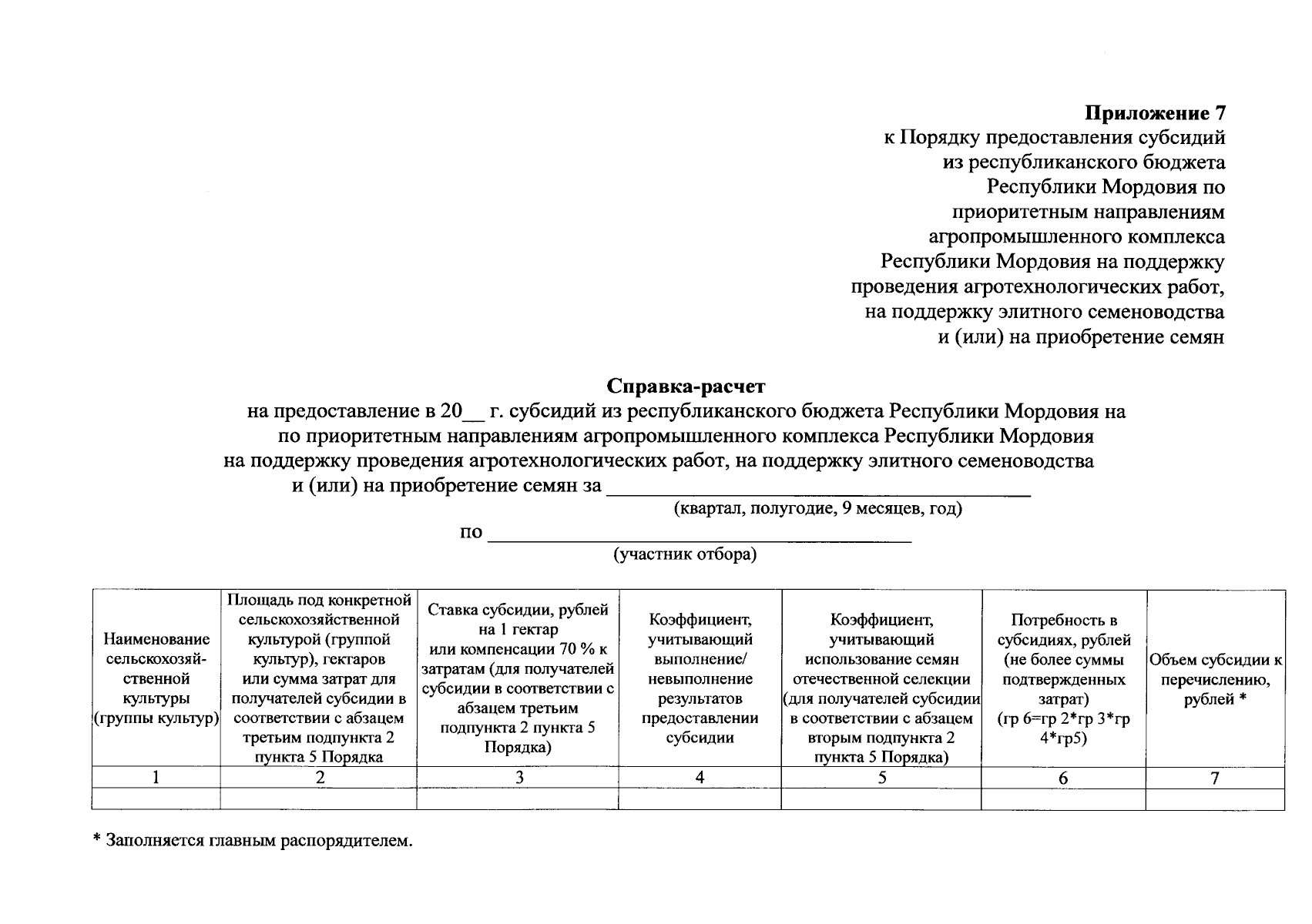
Постановление Правительства Республики Мордовия от 20.02.2024 № 164
"Об утверждении Порядка предоставления субсидий из республиканского бюджета Республики Мордовия по приоритетным направлениям агропромышленного комплекса Республики Мордовия на поддержку проведения агротехнологических работ, на поддержку элитного семеноводства и (или) на приобретение семян"
Номер опубликования: 1300202402200004
Дата опубликования: 20.02.2024
Страница №36 из 37:
Увеличить