Официальное опубликование правовых актов
ОФИЦИАЛЬНОЕ ОПУБЛИКОВАНИЕ
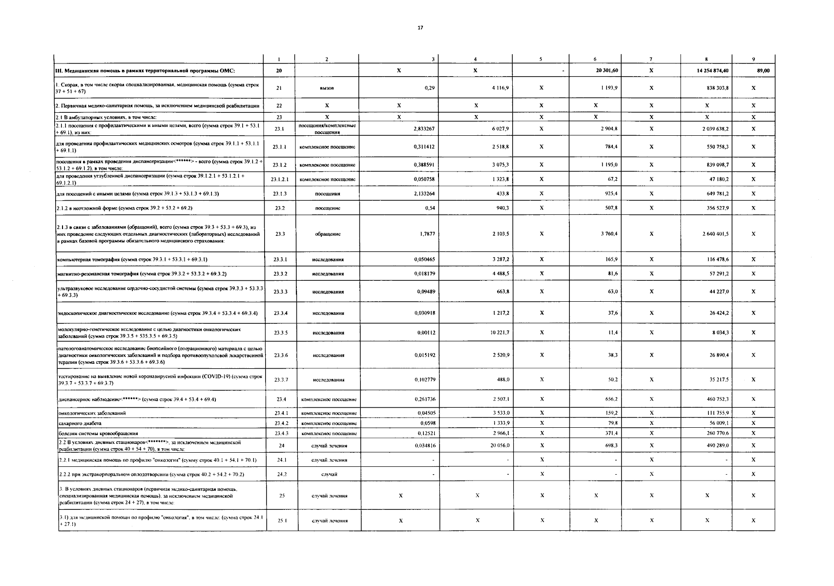
Постановление Правительства Республики Мордовия от 07.02.2024 № 116
"О Республиканской территориальной программе государственных гарантий бесплатного оказания населению Республики Мордовия медицинской помощи на 2024 год и на плановый период 2025 и 2026 годов"
Номер опубликования: 1300202402080045
Дата опубликования: 08.02.2024
Страница №121 из 233:
Увеличить