Официальное опубликование правовых актов
ОФИЦИАЛЬНОЕ ОПУБЛИКОВАНИЕ
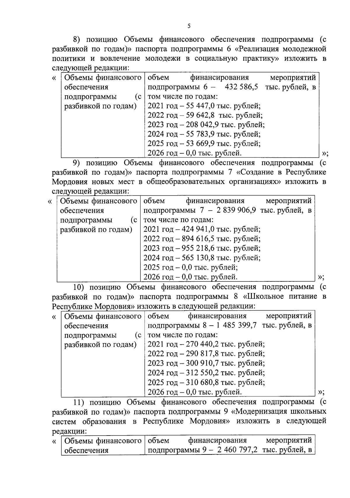
Постановление Правительства Республики Мордовия от 27.12.2023 № 778
"О внесении изменений в государственную программу Республики Мордовия "Развитие образования в Республике Мордовия"
Номер опубликования: 1300202312310022
Дата опубликования: 31.12.2023
Страница №5 из 75:
Увеличить