Официальное опубликование правовых актов
ОФИЦИАЛЬНОЕ ОПУБЛИКОВАНИЕ
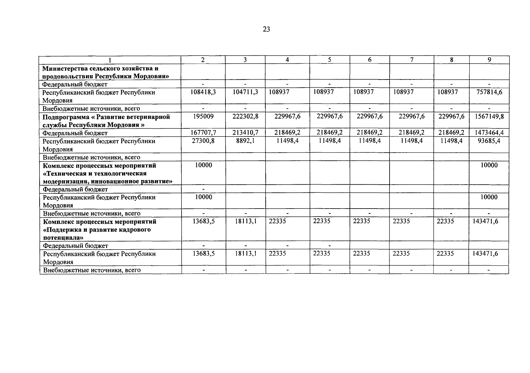
Постановление Правительства Республики Мордовия от 29.12.2023 № 794
"Об утверждении Государственной программы Республики Мордовия развития сельского хозяйства и регулирования рынков сельскохозяйственной продукции, сырья и продовольствия и признании утратившими силу отдельных постановлений Правительства Республики Мордовия"
Номер опубликования: 1300202312310009
Дата опубликования: 31.12.2023
Страница №47 из 47:
Увеличить