Официальное опубликование правовых актов
ОФИЦИАЛЬНОЕ ОПУБЛИКОВАНИЕ
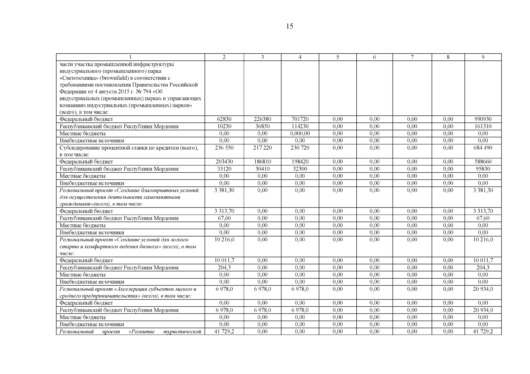
Постановление Правительства Республики Мордовия от 27.12.2023 № 767
"Об утверждении государственной программы Республики Мордовия "Экономическое развитие Республики Мордовия"
Номер опубликования: 1300202312290005
Дата опубликования: 29.12.2023
Страница №33 из 36:
Увеличить