Официальное опубликование правовых актов
ОФИЦИАЛЬНОЕ ОПУБЛИКОВАНИЕ
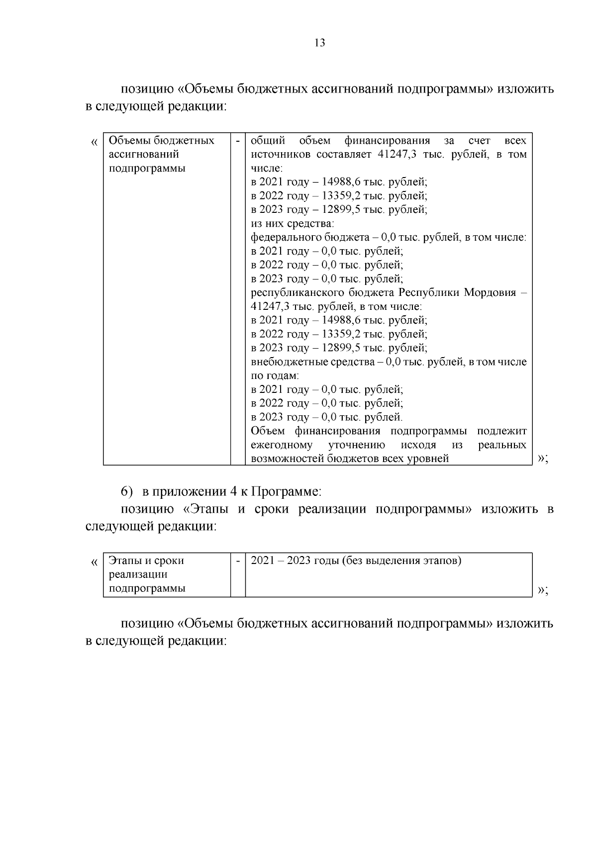
Постановление Правительства Республики Мордовия от 27.12.2023 № 762
"О внесении изменений в государственную программу "Научно-технологическое и инновационное развитие Республики Мордовия"
Номер опубликования: 1300202312280014
Дата опубликования: 28.12.2023
Страница №13 из 15:
Увеличить