Официальное опубликование правовых актов
ОФИЦИАЛЬНОЕ ОПУБЛИКОВАНИЕ
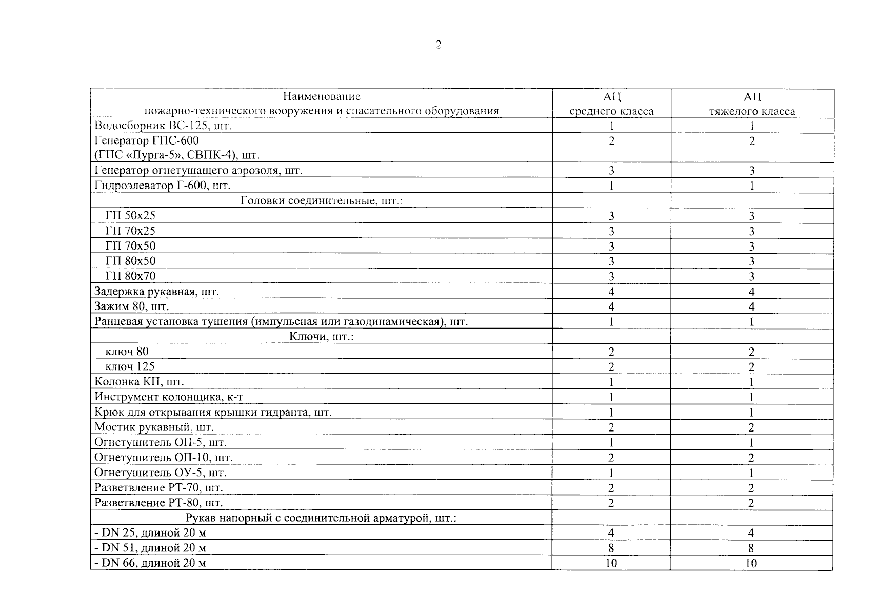
Постановление Правительства Республики Мордовия от 15.12.2023 № 705
"Об утверждении норм оснащения и материально-технического обеспечения противопожарной службы Республики Мордовия"
Номер опубликования: 1300202312150001
Дата опубликования: 15.12.2023
Страница №6 из 19:
Увеличить