Официальное опубликование правовых актов
ОФИЦИАЛЬНОЕ ОПУБЛИКОВАНИЕ
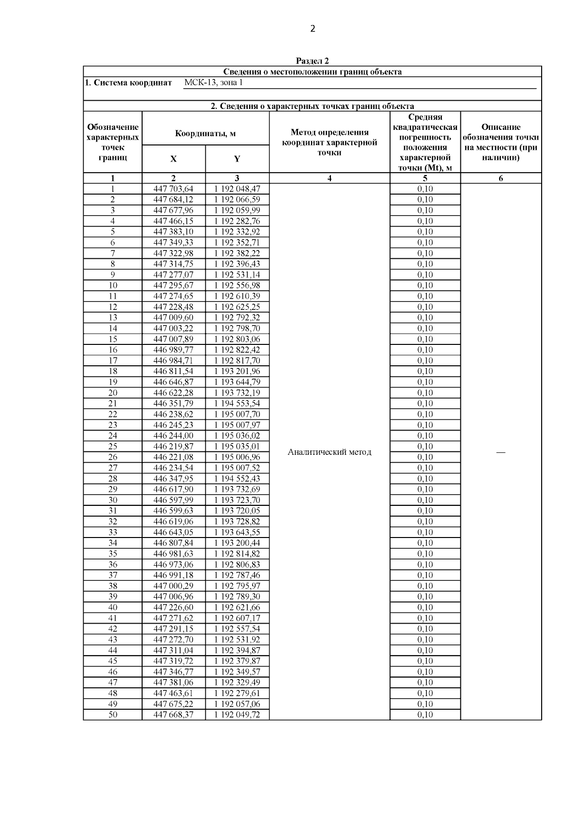
Постановление Правительства Республики Мордовия от 02.10.2023 № 501
"Об утверждении границы охранной зоны газораспределительной сети"
Номер опубликования: 1300202310040001
Дата опубликования: 04.10.2023
Страница №3 из 12:
Увеличить