Официальное опубликование правовых актов
ОФИЦИАЛЬНОЕ ОПУБЛИКОВАНИЕ
Постановление Правительства Республики Мордовия от 26.09.2023 № 485
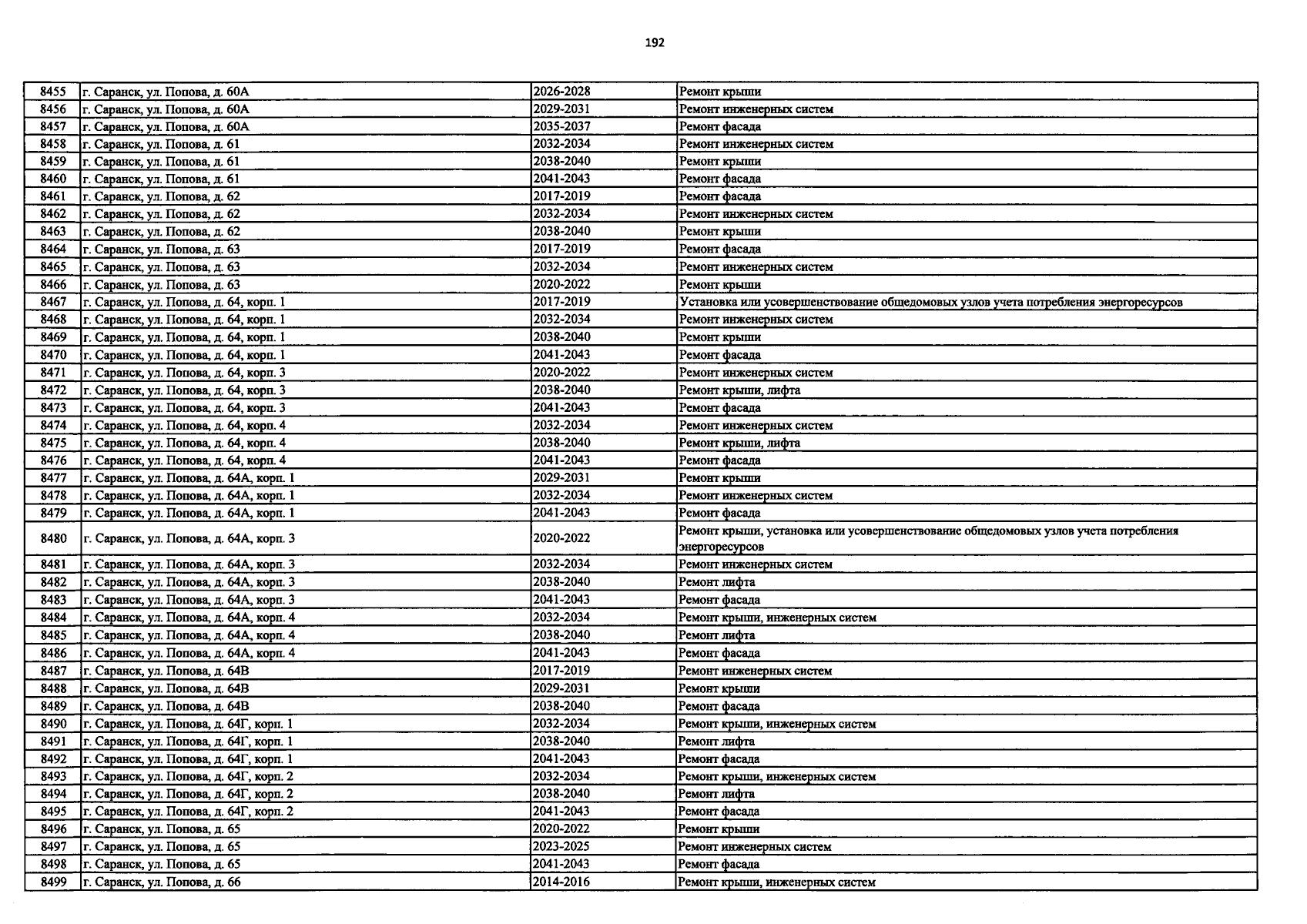
"О внесении изменений в Республиканскую адресную программу «Проведение капитального ремонта общего имущества в многоквартирных домах, расположенных на территории Республики Мордовия» на 2014 – 2055 годы"
Номер опубликования: 1300202309270001
Дата опубликования: 27.09.2023
Страница №192 из 241:
Увеличить