Официальное опубликование правовых актов
ОФИЦИАЛЬНОЕ ОПУБЛИКОВАНИЕ
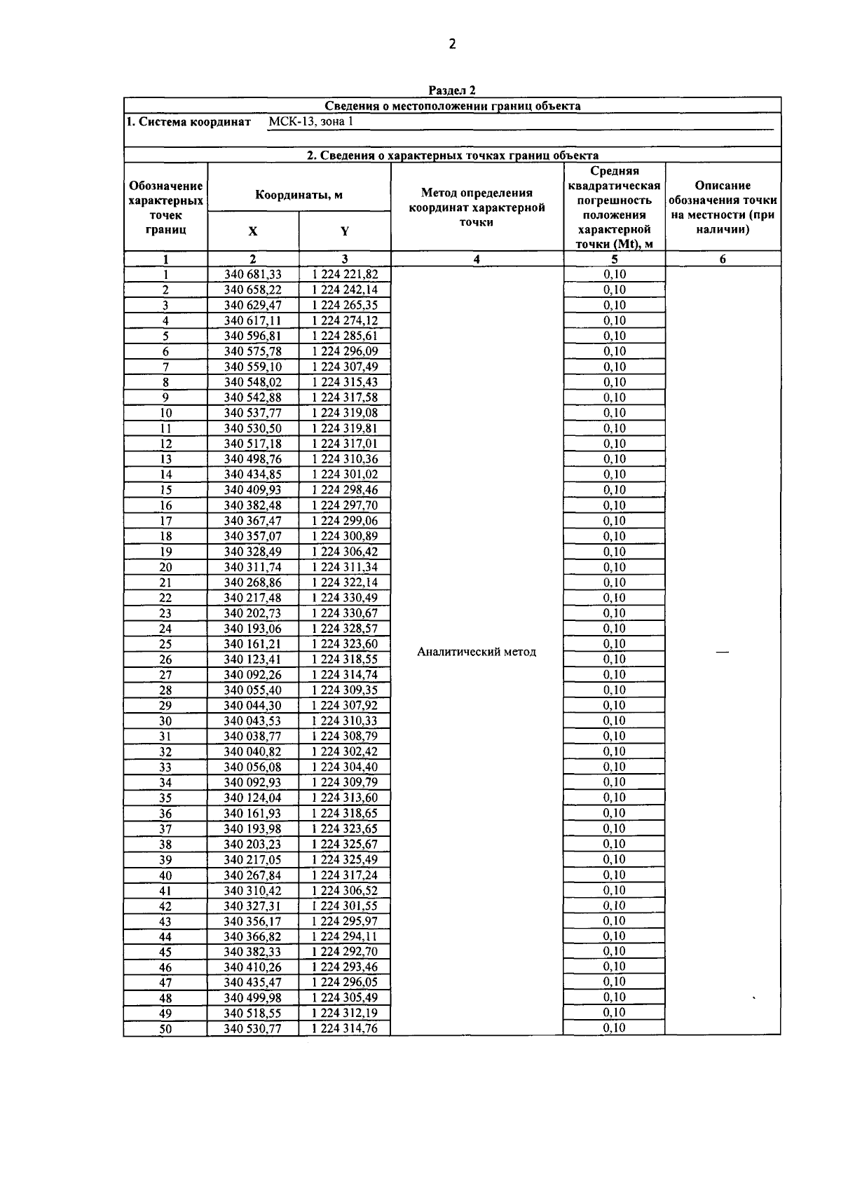
Постановление Правительства Республики Мордовия от 04.09.2023 № 447
"Об утверждении границы охранной зоны газораспределительной сети"
Номер опубликования: 1300202309050004
Дата опубликования: 05.09.2023
Страница №3 из 7:
Увеличить