Официальное опубликование правовых актов
ОФИЦИАЛЬНОЕ ОПУБЛИКОВАНИЕ
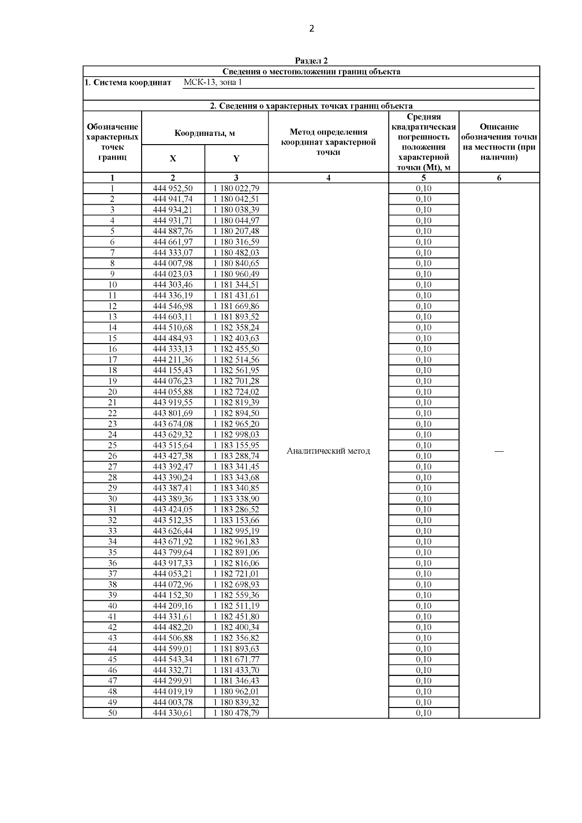
Постановление Правительства Республики Мордовия от 10.08.2023 № 390
"Об утверждении границы охранной зоны газораспределительной сети"
Номер опубликования: 1300202308150002
Дата опубликования: 15.08.2023
Страница №3 из 13:
Увеличить