Официальное опубликование правовых актов
ОФИЦИАЛЬНОЕ ОПУБЛИКОВАНИЕ
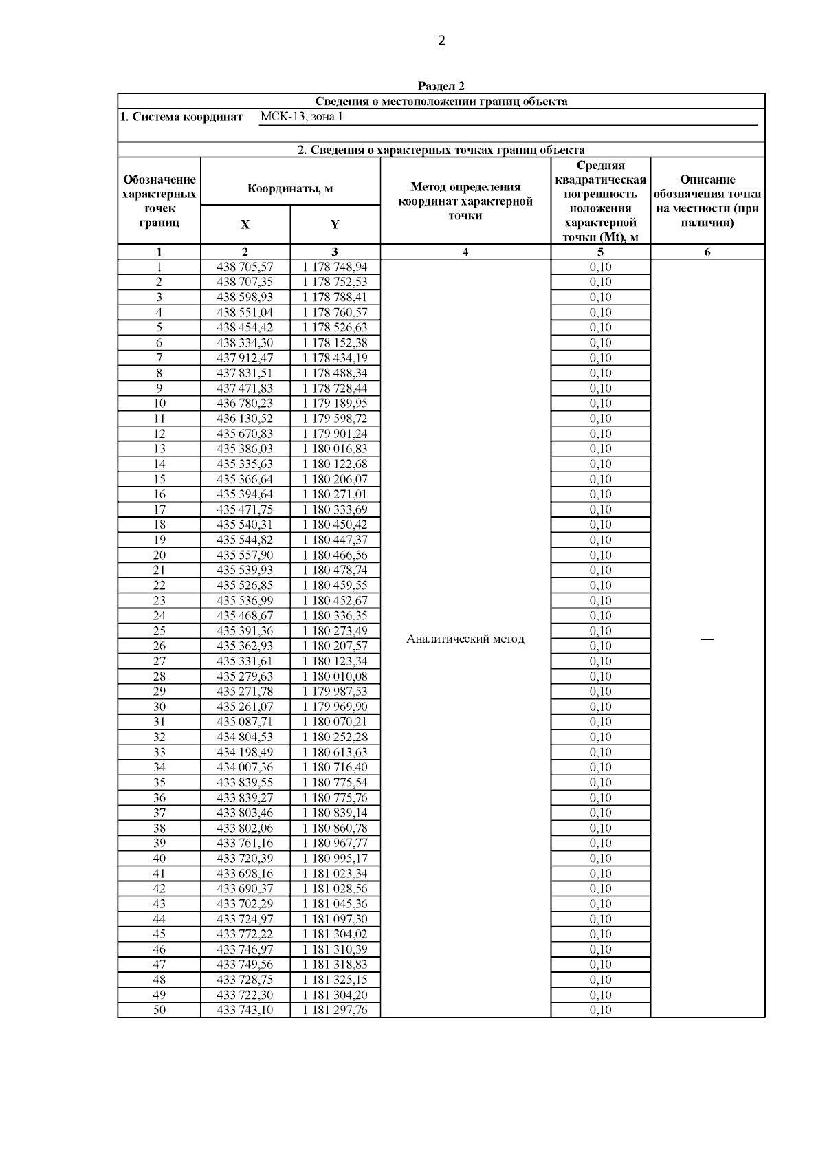
Постановление Правительства Республики Мордовия от 10.08.2023 № 377
"Об утверждении границы охранной зоны газораспределительной сети"
Номер опубликования: 1300202308140017
Дата опубликования: 14.08.2023
Страница №3 из 16:
Увеличить