Официальное опубликование правовых актов
ОФИЦИАЛЬНОЕ ОПУБЛИКОВАНИЕ
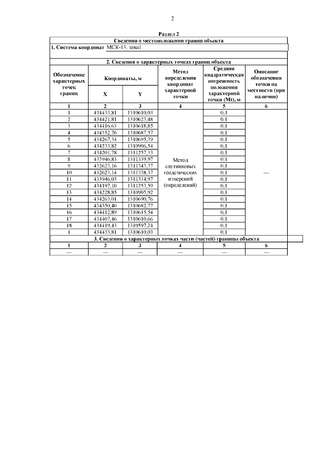
Постановление Правительства Республики Мордовия от 14.06.2023 № 274
"Об утверждении границы охранной зоны газораспределительной сети"
Номер опубликования: 1300202306200003
Дата опубликования: 20.06.2023
Страница №3 из 6:
Увеличить