Официальное опубликование правовых актов
ОФИЦИАЛЬНОЕ ОПУБЛИКОВАНИЕ
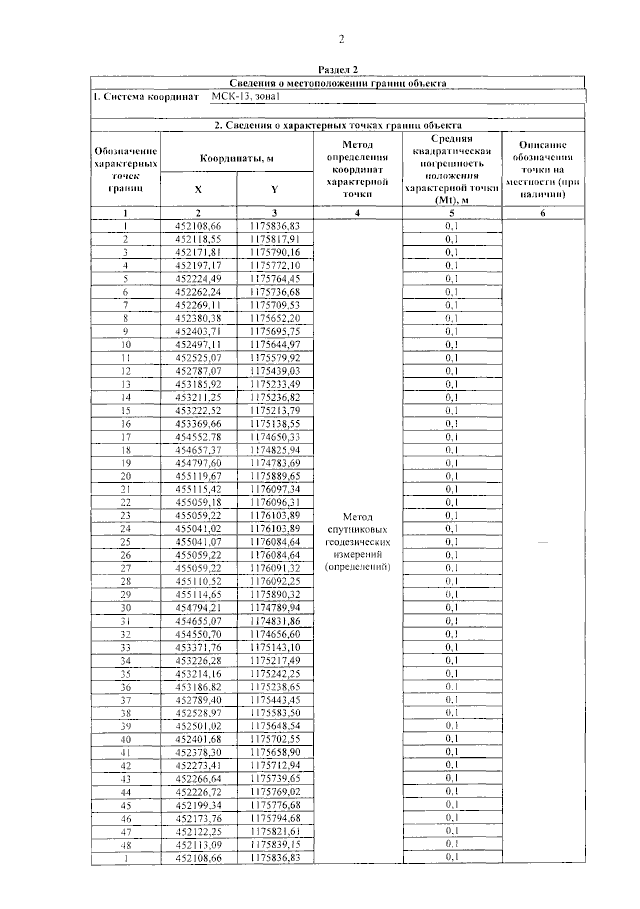
Постановление Правительства Республики Мордовия от 15.06.2023 № 276
"Об утверждении границы охранной зоны газораспределительной сети"
Номер опубликования: 1300202306160002
Дата опубликования: 16.06.2023
Страница №3 из 7:
Увеличить