Официальное опубликование правовых актов
ОФИЦИАЛЬНОЕ ОПУБЛИКОВАНИЕ
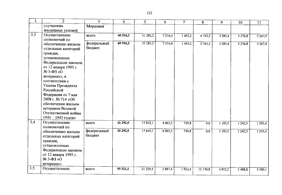
Постановление Правительства Республики Мордовия от 06.06.2023 № 264
"О внесении изменений в постановление Правительства Республики Мордовия от 6 февраля 2019 г. № 53"
Номер опубликования: 1300202306080001
Дата опубликования: 08.06.2023
Страница №122 из 149:
Увеличить