Официальное опубликование правовых актов
ОФИЦИАЛЬНОЕ ОПУБЛИКОВАНИЕ
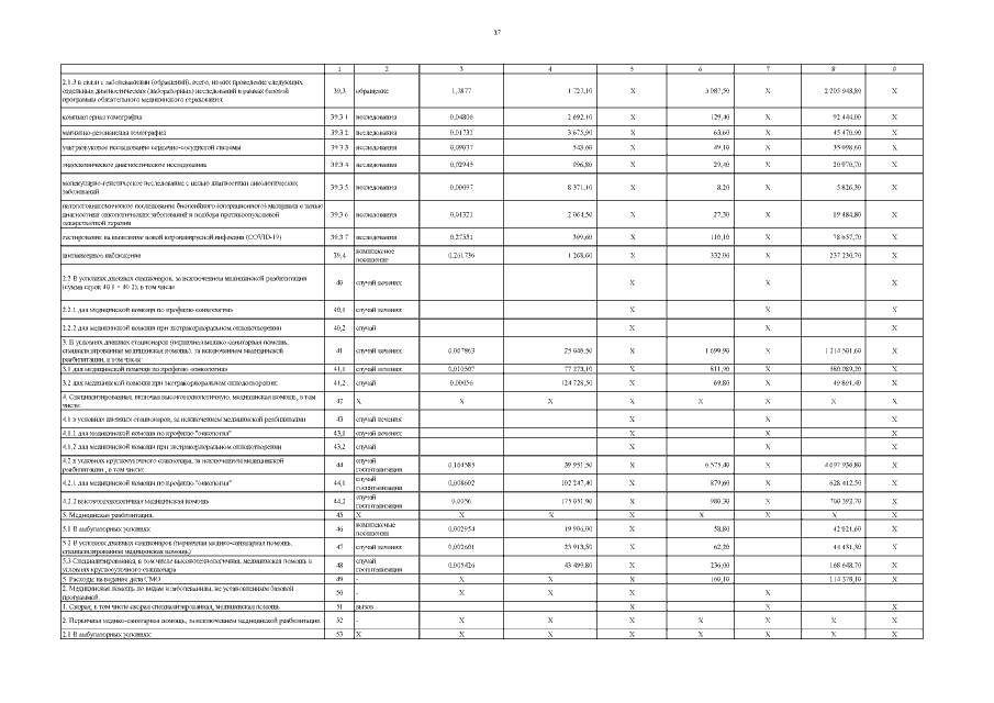
Постановление Правительства Республики Мордовия от 21.04.2023 № 207
"О внесении изменений в Республиканскую территориальную программу государственных гарантий бесплатного оказания населению Республики Мордовия медицинской помощи на 2023 год и на плановый период 2024 и 2025 годов"
Номер опубликования: 1300202304240015
Дата опубликования: 24.04.2023
Страница №17 из 48:
Увеличить