Официальное опубликование правовых актов
ОФИЦИАЛЬНОЕ ОПУБЛИКОВАНИЕ
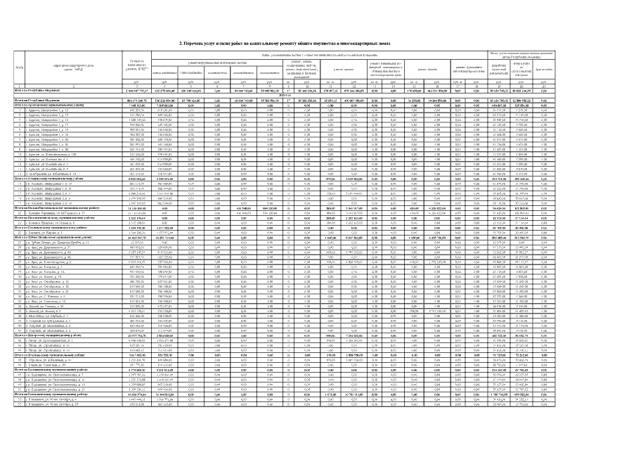
Постановление Правительства Республики Мордовия от 31.03.2023 № 169
"О внесении изменений в постановление Правительства Республики Мордовия от 18 июля 2022 г. № 511"
Номер опубликования: 1300202304050007
Дата опубликования: 05.04.2023
Страница №13 из 29:
Увеличить