Официальное опубликование правовых актов
ОФИЦИАЛЬНОЕ ОПУБЛИКОВАНИЕ
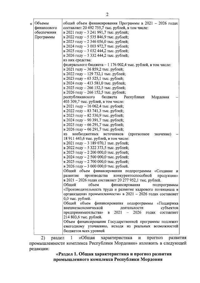
Постановление Правительства Республики Мордовия от 23.03.2023 № 152
"О внесении изменений в государственную программу "Повышение конкурентоспособности промышленности Республики Мордовия"
Номер опубликования: 1300202303240006
Дата опубликования: 24.03.2023
Страница №2 из 22:
Увеличить