Официальное опубликование правовых актов
ОФИЦИАЛЬНОЕ ОПУБЛИКОВАНИЕ
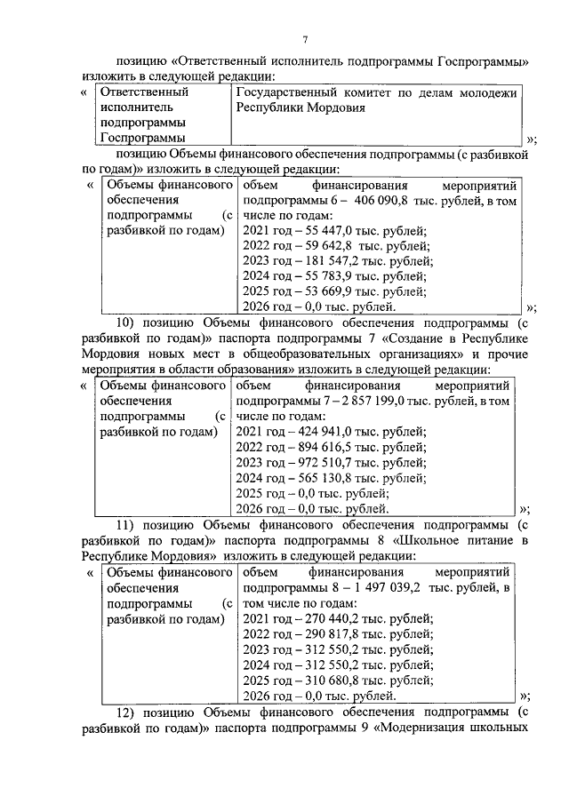
Постановление Правительства Республики Мордовия от 27.02.2023 № 104
"О внесении изменений в государственную программу Республики Мордовия "Развитие образования в Республике Мордовия"
Номер опубликования: 1300202302270010
Дата опубликования: 27.02.2023
Страница №7 из 62:
Увеличить