Официальное опубликование правовых актов
ОФИЦИАЛЬНОЕ ОПУБЛИКОВАНИЕ
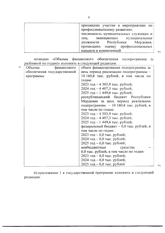
Постановление Правительства Республики Мордовия от 14.02.2023 № 79
"О внесении изменений в государственную программу Республики Мордовия "Развитие государственной гражданской службы Республики Мордовия и муниципальной службы в Республике Мордовия"
Номер опубликования: 1300202302160002
Дата опубликования: 16.02.2023
Страница №9 из 19:
Увеличить