Официальное опубликование правовых актов
ОФИЦИАЛЬНОЕ ОПУБЛИКОВАНИЕ
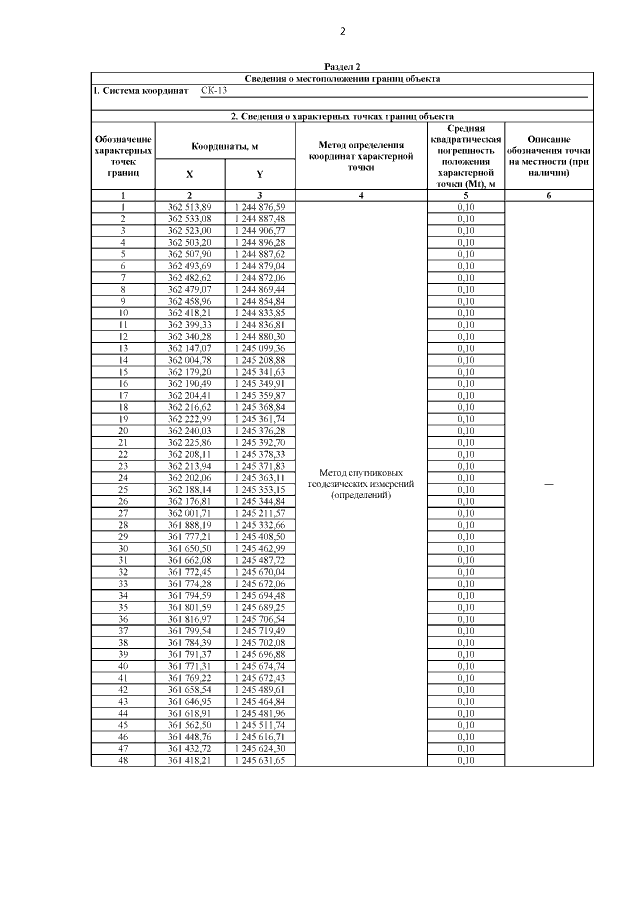
Постановление Правительства Республики Мордовия от 23.09.2022 № 642
"Об утверждении границы охранной зоны газораспределительной сети"
Номер опубликования: 1300202209290002
Дата опубликования: 29.09.2022
Страница №3 из 17:
Увеличить