Официальное опубликование правовых актов
ОФИЦИАЛЬНОЕ ОПУБЛИКОВАНИЕ
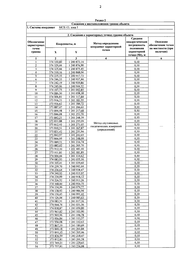
Постановление Правительства Республики Мордовия от 05.09.2022 № 601
"Об утверждении границы охранной зоны газораспределительной сети"
Номер опубликования: 1300202209050001
Дата опубликования: 05.09.2022
Страница №3 из 10:
Увеличить