Официальное опубликование правовых актов
ОФИЦИАЛЬНОЕ ОПУБЛИКОВАНИЕ
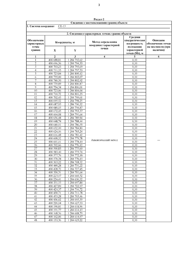
Постановление Правительства Республики Мордовия от 11.08.2022 № 547
"Об утверждении границы охранной зоны газораспределительной сети"
Номер опубликования: 1300202208120011
Дата опубликования: 12.08.2022
Страница №4 из 14:
Увеличить