Официальное опубликование правовых актов
ОФИЦИАЛЬНОЕ ОПУБЛИКОВАНИЕ
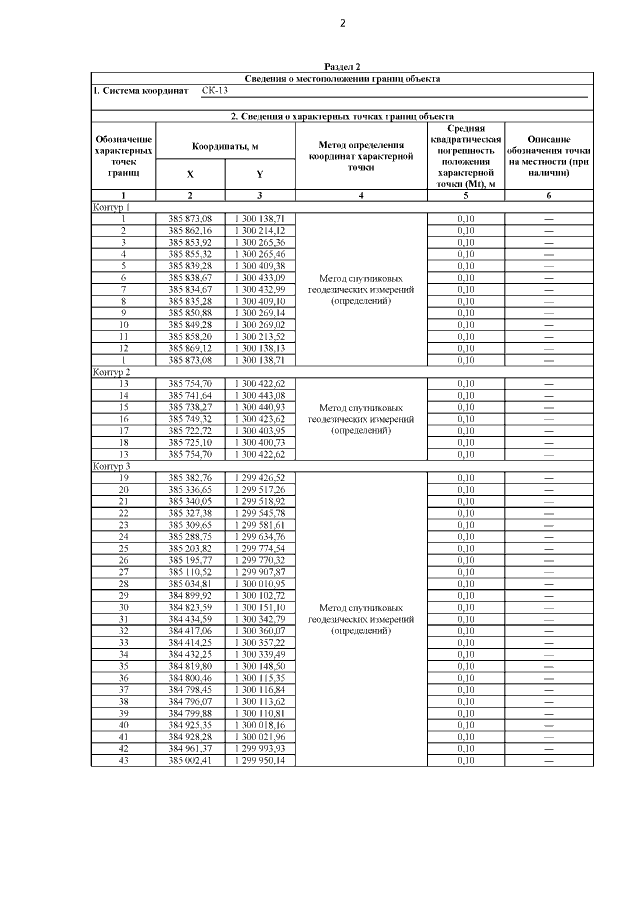
Постановление Правительства Республики Мордовия от 11.08.2022 № 544
"Об утверждении границы охранной зоны газораспределительной сети"
Номер опубликования: 1300202208120008
Дата опубликования: 12.08.2022
Страница №3 из 13:
Увеличить