Официальное опубликование правовых актов
ОФИЦИАЛЬНОЕ ОПУБЛИКОВАНИЕ
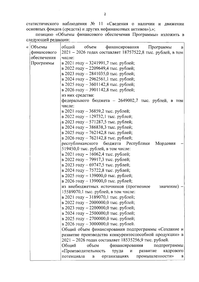
Постановление Правительства Республики Мордовия от 11.07.2022 № 505
"О внесении изменений в государственную программу "Повышение конкурентоспособности промышленности Республики Мордовия"
Номер опубликования: 1300202207110004
Дата опубликования: 11.07.2022
Страница №2 из 15:
Увеличить