Официальное опубликование правовых актов
ОФИЦИАЛЬНОЕ ОПУБЛИКОВАНИЕ
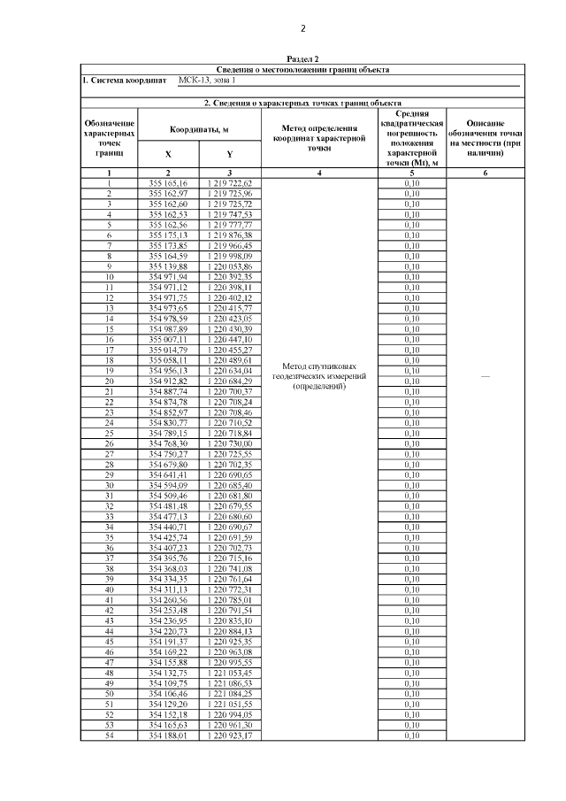
Постановление Правительства Республики Мордовия от 08.04.2022 № 356
"Об утверждении границы охранной зоны газораспределительной сети"
Номер опубликования: 1300202204110004
Дата опубликования: 11.04.2022
Страница №3 из 13:
Увеличить