Официальное опубликование правовых актов
ОФИЦИАЛЬНОЕ ОПУБЛИКОВАНИЕ
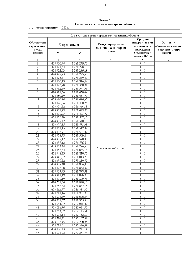
Постановление Правительства Республики Мордовия от 01.04.2022 № 326
"Об утверждении границы охранной зоны газораспределительной сети"
Номер опубликования: 1300202204060018
Дата опубликования: 06.04.2022
Страница №4 из 11:
Увеличить