Официальное опубликование правовых актов
ОФИЦИАЛЬНОЕ ОПУБЛИКОВАНИЕ
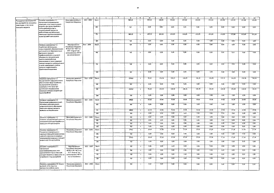
Постановление Правительства Республики Мордовия от 23.03.2022 № 235
"О внесении изменений в Государственную программу развития рынка труда и улучшения условий труда в Республике Мордовия"
Номер опубликования: 1300202203240004
Дата опубликования: 24.03.2022
Страница №18 из 23:
Увеличить