Официальное опубликование правовых актов
ОФИЦИАЛЬНОЕ ОПУБЛИКОВАНИЕ
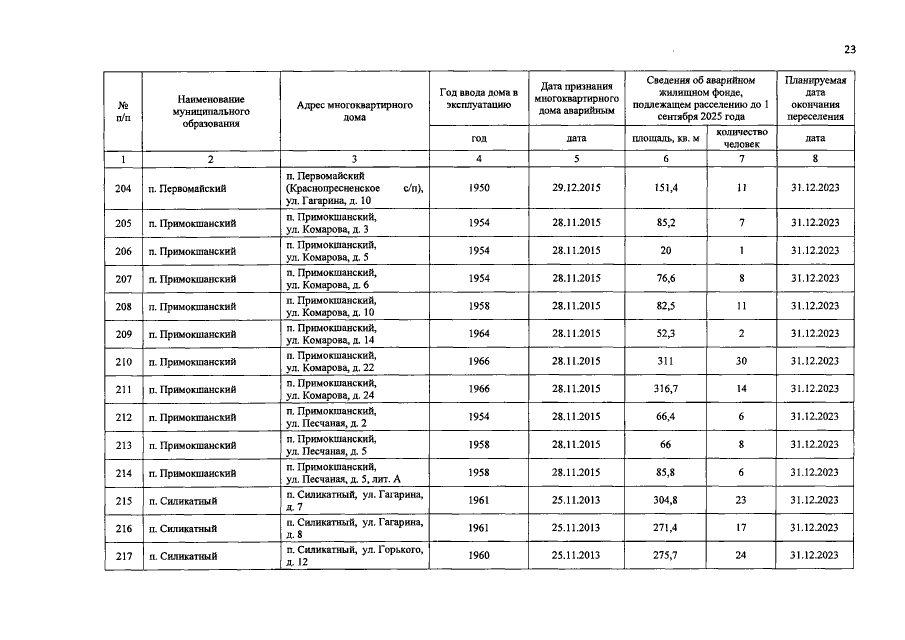
Постановление Правительства Республики Мордовия от 15.03.2022 № 214
"О внесении изменений в государственную программу Республики Мордовия "Развитие жилищного строительства и сферы жилищно-коммунального хозяйства"
Номер опубликования: 1300202203160001
Дата опубликования: 16.03.2022
Страница №23 из 50:
Увеличить