Официальное опубликование правовых актов
ОФИЦИАЛЬНОЕ ОПУБЛИКОВАНИЕ
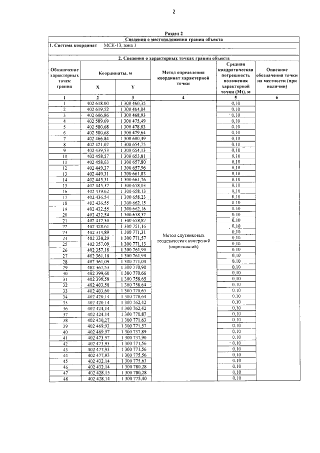
Постановление Правительства Республики Мордовия от 17.02.2022 № 145
"Об утверждении границы охранной зоны газораспределительной сети"
Номер опубликования: 1300202202210009
Дата опубликования: 21.02.2022
Страница №3 из 15:
Увеличить