Официальное опубликование правовых актов
ОФИЦИАЛЬНОЕ ОПУБЛИКОВАНИЕ
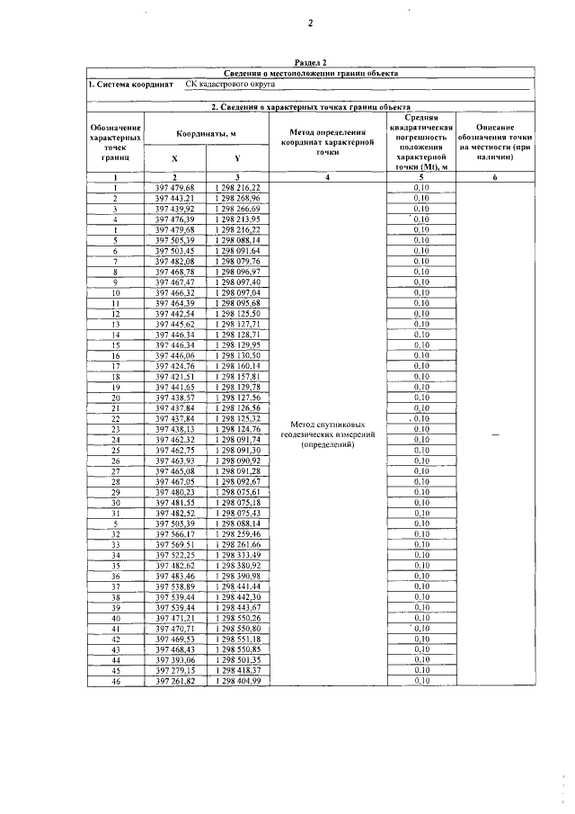
Постановление Правительства Республики Мордовия от 11.02.2022 № 131
"Об утверждении границы охранной зоны газораспределительной сети"
Номер опубликования: 1300202202150005
Дата опубликования: 15.02.2022
Страница №3 из 10:
Увеличить