Официальное опубликование правовых актов
ОФИЦИАЛЬНОЕ ОПУБЛИКОВАНИЕ
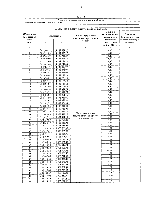
Постановление Правительства Республики Мордовия от 02.02.2022 № 110
"Об утверждении границы охранной зоны газораспределительной сети"
Номер опубликования: 1300202202030012
Дата опубликования: 03.02.2022
Страница №3 из 10:
Увеличить