Официальное опубликование правовых актов
ОФИЦИАЛЬНОЕ ОПУБЛИКОВАНИЕ
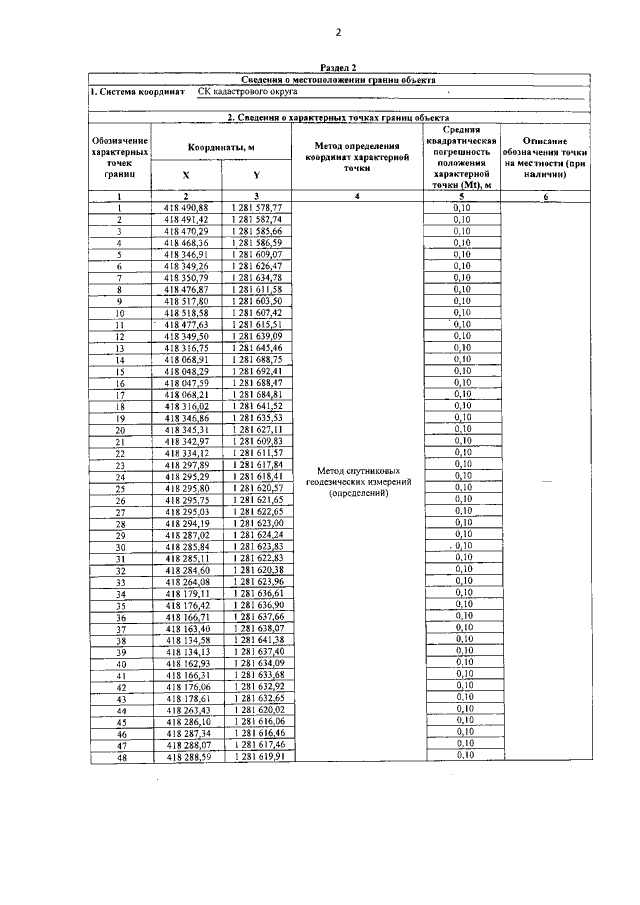
Постановление Правительства Республики Мордовия от 20.01.2022 № 38
"Об утверждении границы охранной зоны газораспределительной сети"
Номер опубликования: 1300202201260004
Дата опубликования: 26.01.2022
Страница №3 из 9:
Увеличить