Официальное опубликование правовых актов
ОФИЦИАЛЬНОЕ ОПУБЛИКОВАНИЕ
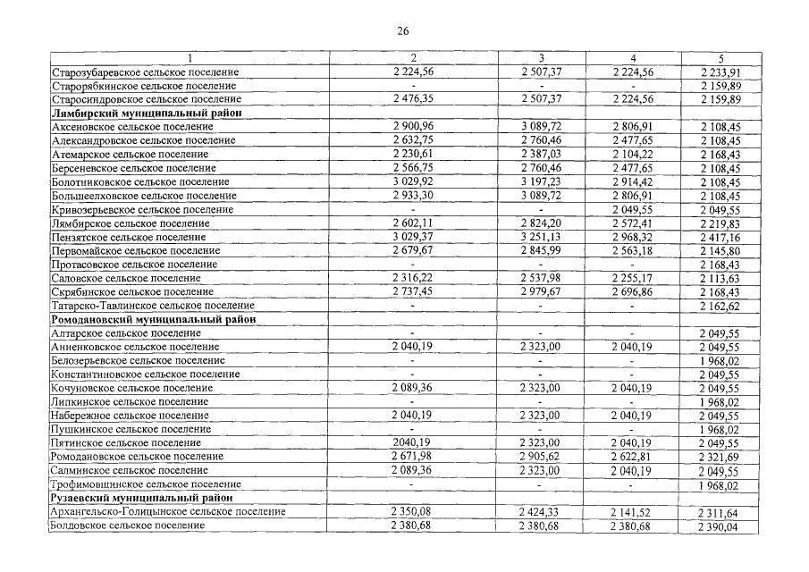
Постановление Правительства Республики Мордовия от 04.10.2021 № 478
"О внесении изменения в приложения 1 – 3 к постановлению Правительства Республики Мордовия от 19 апреля 2021 г. № 169"
Номер опубликования: 1300202110050002
Дата опубликования: 05.10.2021
Страница №27 из 30:
Увеличить