Официальное опубликование правовых актов
ОФИЦИАЛЬНОЕ ОПУБЛИКОВАНИЕ
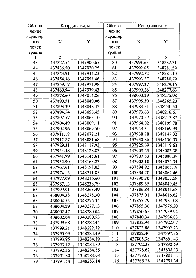
Постановление Правительства Республики Мордовия от 17.03.2021 № 109
"Об утверждении границ охранной зоны газораспределительной сети"
Номер опубликования: 1300202103190008
Дата опубликования: 19.03.2021
Страница №4 из 7:
Увеличить