Постановление Правительства Республики Мордовия от 30.03.2015 № 166
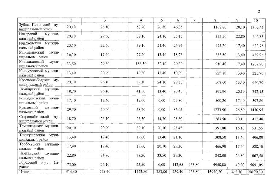
"Об утверждении распределения субсидий бюджетам муниципальных районов и городского округа Саранск в 2015 году на организацию отдыха, оздоровления и занятости детей в каникулярное время"
"Об утверждении распределения субсидий бюджетам муниципальных районов и городского округа Саранск в 2015 году на организацию отдыха, оздоровления и занятости детей в каникулярное время"
Номер опубликования: 1300201504010001
Дата опубликования:
01.04.2015
