Официальное опубликование правовых актов
ОФИЦИАЛЬНОЕ ОПУБЛИКОВАНИЕ
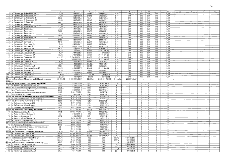
Постановление Правительства Республики Мордовия от 29.01.2015 № 37
"О внесении изменений в Республиканскую адресную программу "Переселение граждан из аварийного жилищного фонда в Республике Мордовия" на 2013-2017 годы"
Номер опубликования: 1300201502020001
Дата опубликования: 02.02.2015
Страница №20 из 29:
Увеличить