Официальное опубликование правовых актов
ОФИЦИАЛЬНОЕ ОПУБЛИКОВАНИЕ
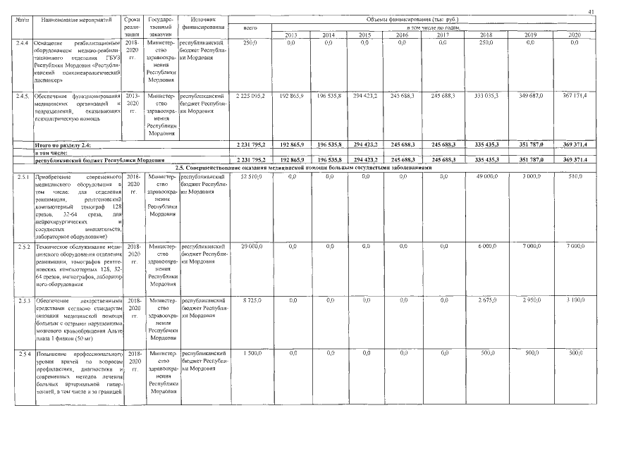
Постановление Правительства Республики Мордовия от 19.01.2015 № 36
"О внесении изменений в государственную программу развития здравоохранения Республики Мордовия на 2013-2020 годы"
Номер опубликования: 1300201501280002
Дата опубликования: 28.01.2015
Страница №41 из 96:
Увеличить