Официальное опубликование правовых актов
ОФИЦИАЛЬНОЕ ОПУБЛИКОВАНИЕ
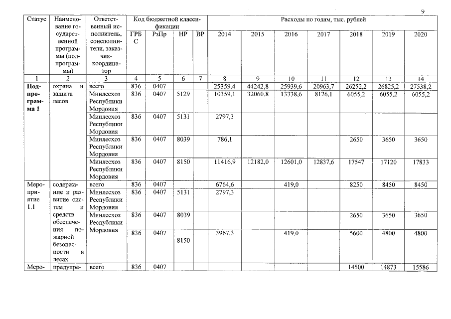
Постановление Правительства Республики Мордовия от 19.01.2015 № 24
"О внесении изменений в государственную программу "Развитие лесного хозяйства и лесоперерабатывающего комплекса Республики Мордовия" на 2014-2020 годы"
Номер опубликования: 1300201501270002
Дата опубликования: 27.01.2015
Страница №9 из 37:
Увеличить