Официальное опубликование правовых актов
ОФИЦИАЛЬНОЕ ОПУБЛИКОВАНИЕ
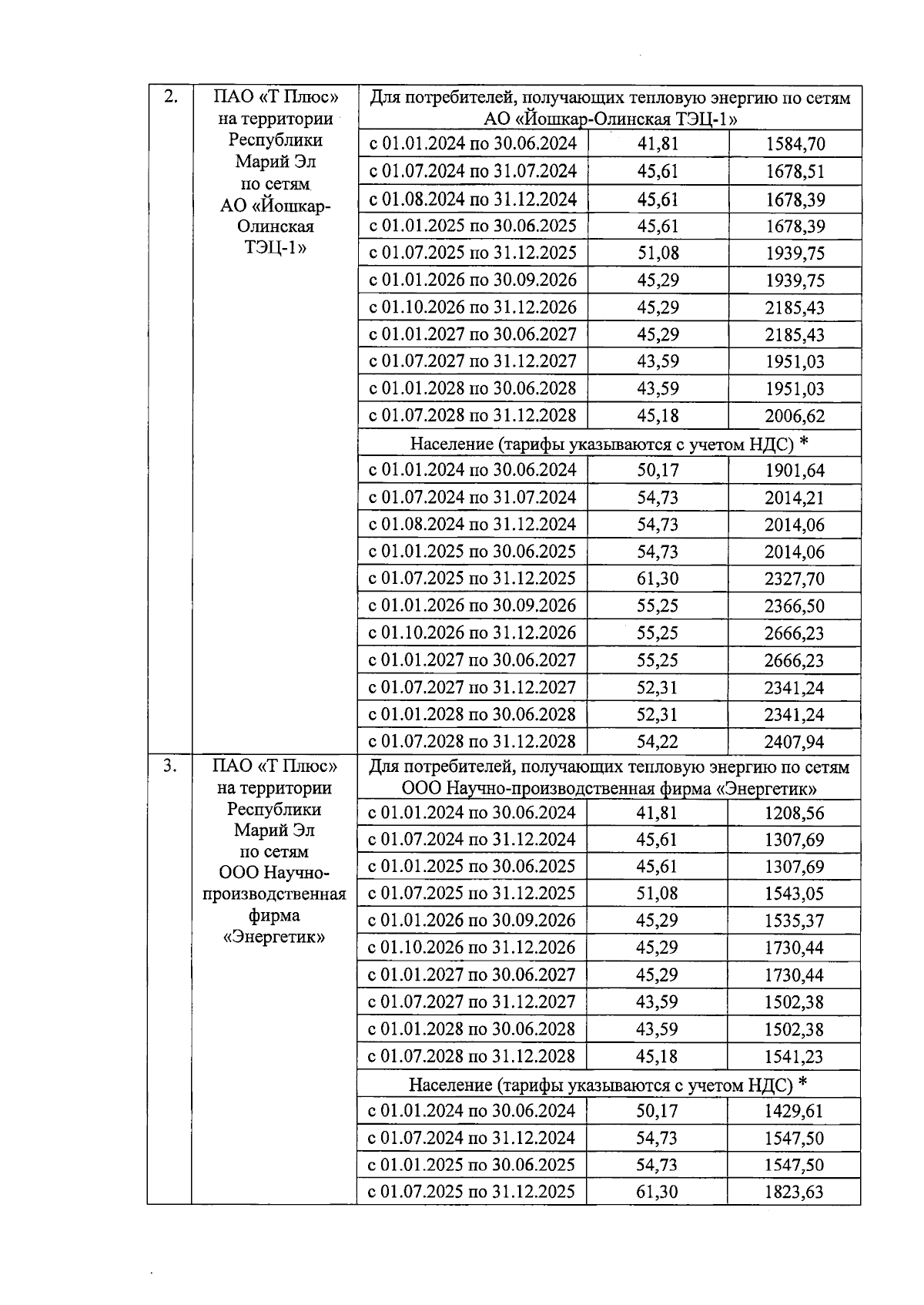
Приказ Министерства промышленности, экономического развития и торговли Республики Марий Эл от 19.12.2025 № 152 т
"О внесении изменений в некоторые приказы Министерства промышленности, экономического развития и торговли Республики Марий Эл"
(Зарегистрирован 27.12.2025 № 121220250161)
Номер опубликования: 1201202512290039
Дата опубликования: 29.12.2025
Страница №11 из 12:
Увеличить