Официальное опубликование правовых актов
ОФИЦИАЛЬНОЕ ОПУБЛИКОВАНИЕ
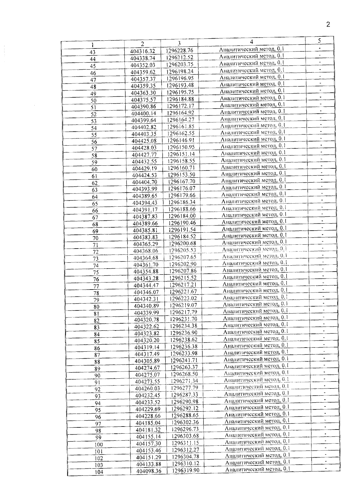
Приказ Министерства строительства, архитектуры и жилищно-коммунального хозяйства Республики Марий Эл от 27.11.2025 № 515
"Об утверждении границ охранных зон газораспределительных сетей и наложении ограничений (обременений) на входящие в них земельные участки"
(Зарегистрирован 01.12.2025 № 120920250059)
Номер опубликования: 1201202512010008
Дата опубликования: 01.12.2025
Страница №10 из 11:
Увеличить